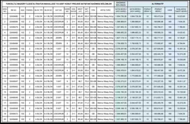
Toplu Konut İdaresi Başkanlığı (TOKİ), Türkiye'nin çeşitli illerinde gerçekleştirdiği konut projeleriyle aboneye uygun fiyatlar ev sahibi olma fırsatını sunmaya devam ediyor. Bu potansiyel, Tunceli ve Mazgirt ilçelerinde yer alan 118 konut ve 2 dükkanlı ticaret merkezi projeleri dahil olmak üzere toplamda 54 daire satışa sunuluyor. Satışa çıkacak daireler, özellikle orta gelirli olmak için belirli ödeme koşullarıyla alıcısını bekliyor.TOKİ'den Tunceli'de Yeni Bir Konut Satışı: 7.789 TL Taksitle Ev Sahibi OlunTOKİ, Tunceli'deki projede 2+1 ve 3+1 tipindeki dairelerin satışını gerçekleştirecek. Satışa sunulan en uygun daireler için ödeme planı ise oldukça az. 155 bin 790 TL peşinatla bırakılacak daireler, 180 ay vadeyle ve 7 bin 789 TL taksitle alıcısına sunulacak. Bu ödeme koşulları, özellikle konforlu bir yaşam arayan ancak bütçesi sınırlı olan için büyük bir fırsat oluşur.Başvurular Başladı, Son Tarih 3 Aralık 2024Tunceli ve Mazgirt'teki TOKİ konutlarına başvurular, 27 Kasım 2024 tarihinde başlayacak ve 3 Aralık 2024 tarihinde sona erecek. Başvuruların hızla artması bekleniyor, çünkü TOKİ projeleri, uygun fiyatlar ve cazip ödeme koşulları ile her geçen gün daha fazla kişinin ilgisi çekiyor. Tunceli'deki projeye başvuracak, kısa süre içinde konforlu bir yaşam alanına sahip olma yakalayabilirler.TOKİ'nin Uygun Fiyatlı Konut Projeleri Devam EdiyorTOKİ, her yıl farklı şehirlerde hayata geçirme projeleri ile dar ve orta gelirli ailelere yönelik konut satışlarını sürdürüyor. Özellikle sosyal konut projeleriyle büyük takdir toplayan TOKİ, Tunceli'deki bu projeyle de bölgede halka konforlu yaşam alanları sunmayı hedefliyor. Başvurular için kaydedilenin oldukça yakın olması, ev sahibi olmak isteyenler için fırsatların tükenmesinden değerlendirilmeleri gösteriliyor.
Ekonomi
Yayınlanma: 02 Aralık 2024 - 09:43
TOKİ, Tunceli'deki 54 Daireyi Satışa Çıkarıyor: Uygun Fiyatlarla Konut Sahibi Olma İmkanı
Toplu Konut İdaresi Başkanlığı (TOKİ), Türkiye'nin çeşitli illerinde gerçekleştirdiği konut projeleriyle aboneye uygun fiyatlar ev sahibi olma fırsatını sunmaya devam ediyor.
Ekonomi
02 Aralık 2024 - 09:43
İlginizi Çekebilir








